收藏本站
首页
公司概况
公司简介
公司规模
公司荣誉
产品中心
新闻动态
企业资讯
行业报道
医药知识
商务招商
联系我们
人才招聘
8868集团官网(中国)官方网站
新闻动态
企业资讯
行业报道
医药知识
当前位置:
首页
>
企业资讯
>
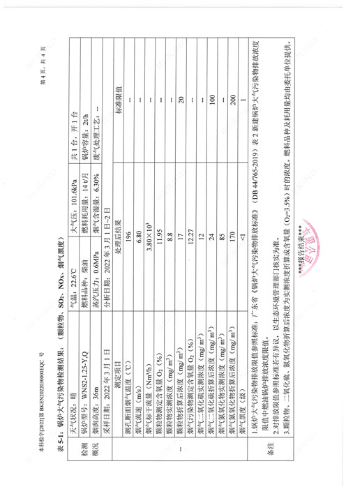
2022年3月废气检测
2022年3月废气检测
发布时间:2022-04-29 10:33:53 点击数:
上一篇:
2022年2月废气检测
下一篇:
2022年3月废水检测
官方微信扫一扫
安博(中国)anbo·官方网页版
|
安博体育网页版入口
|
完美电竞·(中国) 竞技平台
|
kaiyuan平台
|
开云电子体育_开云(中国)官方
|
乐鱼电竞官方网(中国)有限公司
|
安博电竞·(anbo)官方网站
|
电子竞技官网·(中国)官方网站
|
雷火体育
|